Epatite C. L’associazione dei malati: “L’Emilia-Romagna spende tutti i soldi stanziati?”

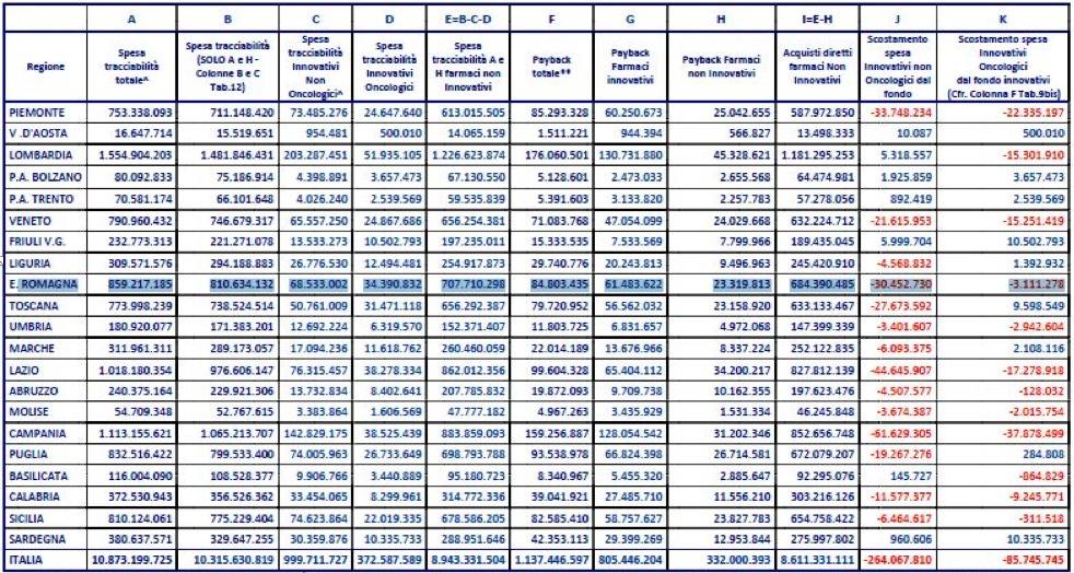
Il grido d’allarme lo lancia EpaC, l’associazione dei malati affetti da epatite C. “Dai primi dati disponibili le Regioni non stanno spendendo tutti i fondi messi a disposizione per i nuovi farmaci”. Farmaci con un percentuale di efficacia prossima al 100% e in grado di sconfiggere l’epatite C in pochi mesi. Una vera e propria rivoluzione per quanto riguarda il trattamento di una malattia che in Italia riguarda centianai di miglia di persone ed è la responsabile diretta di 6 trapianti di fegato su 10. Un problema, quello del non completo utilizzo dei fondi, che potrebbe riguardare anche l’Emilia-Romagna. I dati l’associazione EpaC li prende direttamente dall’ultimo rapporto dell’Aifa, l’Agenzia italiana del farmaco. Consultando un un documento datato 29 marzo sul monitoraggio della spesa farmaceutica regionale dei primi 11 mesi del 2017 si scopre che dei 61 milioni da destinare ai farmaci innovativi non oncologici (e qui la parte del leone la fanno quelli per l’epatite C) ben 30 in Emilia-Romagna non sono stati spesi, o comunque sono stati usati per altri scopi. Una riduzione secca di quasi il 50%.
Tabella 9 tris Spesa farmaceutica, come derivante dal dato di tracciabilità del farmavo, per il gennaio-novembre 2017: dettaglio della spesa finanziata tramite i fondi per i farmaci innovativi oncologici e non oncologici e dei relativi payback e totale spesa tracciabilità al netto dei farmaci innovativi.
**Con riferimento ai MEA, l'AIFA ha attivato un'attività di verifica e validazione dei dati relativamente all'importo effettivamente pagato dalle Aziende rispetto alle PDP (Proposte di Pagamento), utilizzate per il calcolo dell'importo nei precedenti monitoraggi. Il dato validato è oggi disponibile per tutte le 21 aziende interessate.
^I dati di tracciabilità per il farmaco EPCLUSA sono al netto delle note di credito relative all'accordo P/V vigente
“Il report è ancora parziale e i dati sono di complessa lettura perché il consultivo reale si potrà fare solo a bocce ferme ma come associazione siamo molto preoccupati – spiega il presidente Associazione EpaC Onlus Ivan Gardini – Chiediamo che la Regione Emilia-Romagna ci spieghi cosa sta succedendo”. EpaC punta il dito anche sul mancato coordinamento della presa in carico dei pazienti a livello regionale. Se in Sicilia infatti, grazie all’opera della locale “Rete regionale dell’Hcv” i tempi di attesa per l’esame del fibroscan (un punto di passaggio fondamentale per la cura dell’epatite C) si attestano sui 20 giorni in tutta l’isola, in Emilia-Romagna la situazione varia da Azienda sanitaria ad Azienda, e spiccano (in negativo) i 6 mesi di attesa all’ospedale Sant’Orsola di Bologna.
L’intervista a Ivan Gardini nella puntata di “Welfare – esplorazioni nel sociale che cambia” del 9 maggio. Ospiti della trasmissione oltre a Gardini il giornalista medico scientifico Daniele Banfi e Francesca Testoni di Ageop, l’associazione che da 36 anni sta al fianco dei bambini che lottano contro il cancro e delle loro famiglie. Questo fine settimana Ageop festeggerà il suo compleanno a Bologna con tre giorni di festa. Il podcast di Welfare.
Vai alla notizia originale per sentire l’intervista radio:
http://www.radiocittadelcapo.it/archives/epatite-c-lassociazione-dei-malati-lemilia-romagna-spende-tutti-i-soldi-stanziati-192826/
Ogni mercoledì dalle 9.30 alle 10 su Radio Città del Capo va in onda “Welfare – Esplorazioni nel sociale che cambia“, trasmissione che vuole raccontare il welfare e la sanità in tutte le sue sfumature, partendo da storie concrete. Welfare vi racconterà storie di tutte Italia, sperimentazioni sociali o progetti già radicati che contribuiscono al benessere degli anziani, dei pazienti di ambulatori, cliniche e ospedali, dei disabili, dei frequentatori degli empori solidali, dei senza casa, di chi usufruisce dei servizi di salute mentale, di tutti coloro che hanno bisogno di assistenza. Welfare vi farà sentire la loro voce, quella dei volontari e degli operatori sociali, quella dei medici e di chi costruisce welfare tutti i giorni.
Fonte: radiocittadelcapo.it























